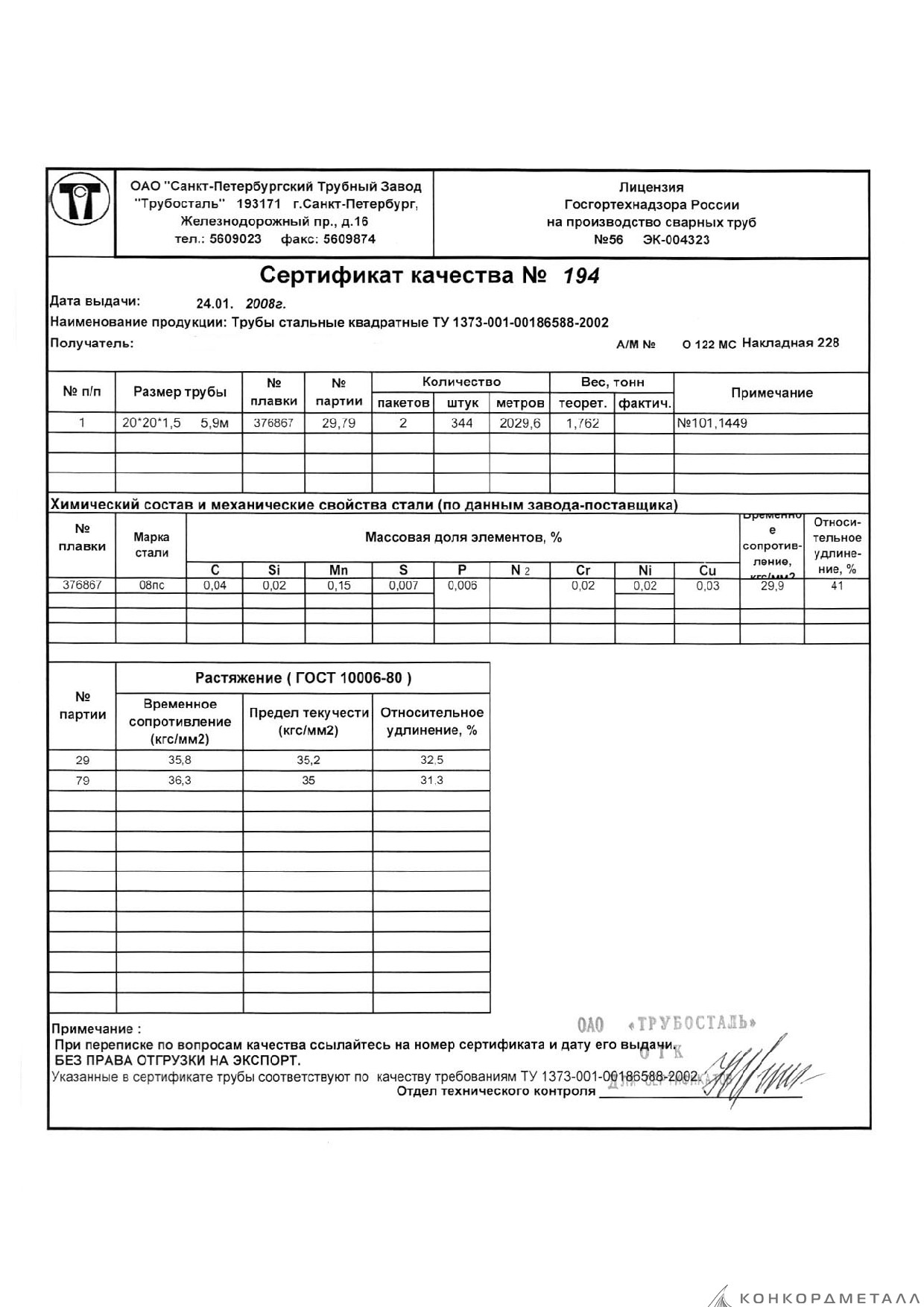
+7 (812) 209-19-68
Поставка арматуры по Агалатову и Ленинградской области
деревня Агалатово, 165
Часы работы: ежедневно с 8:00 до 21:00
+7 (812) 209-19-68 Заказать звонок